中国科大侯达之教授研究团队在铁锈成分之一的赤铁矿(α-Fe₂O₃)中,获得了“交错磁性主导其磁光克尔信号”的直接实验证据:赤铁矿中显著的克尔信号主要来自Néel矢量贡献,而净磁化与外加磁场的贡献在可见光范围内可忽略。相关成果于1月23日以“Experimental Evidence of N´eel-Order-Driven Magneto-optical Kerr Effect in an Altermagnetic Insulator”为题发表在《物理评论快报》上。
赤铁矿凭借其高Néel温度、低阻尼和强磁光响应,常被用作研究反铁磁绝缘体中自旋电子学现象的模型体系。然而,其尽管有着微弱的净磁矩,却表现出“堪比铁磁体”的磁光克尔信号,该现象的物理机制尚未明确。
近年来提出的交错磁体为理解这类现象提供了新的思路:交错磁体虽然没有宏观铁磁性,但由于能带的自旋分裂会呈现一些类似铁磁体的输运与光学效应。赤铁矿被理论预言为g-波交错磁体,并已得到实验支持,但其克尔强信号是否真的由Néel序直接产生,仍因常规的扫场测量无法分离Néel矢量、净磁化和外加磁场的贡献而缺乏决定性证据。

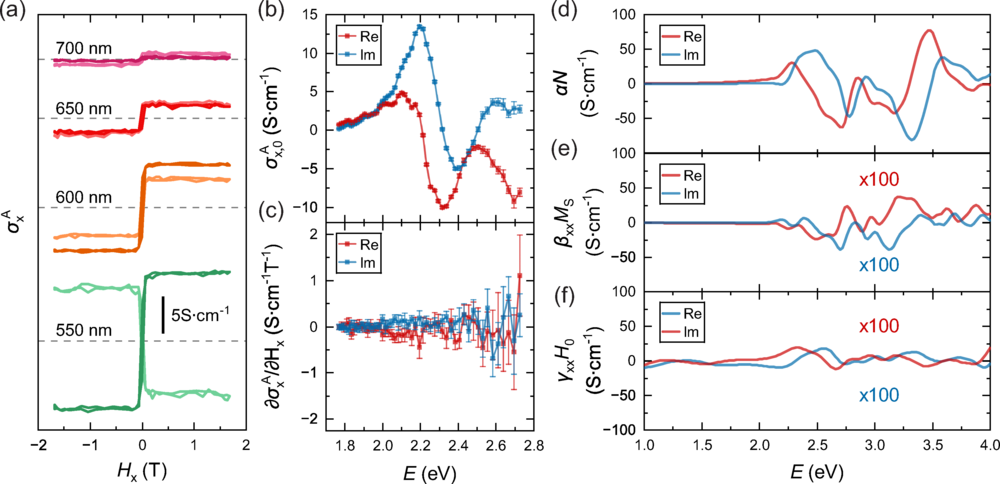
图 1 (a)外磁场扫描下横向光学电导率σiA的结果示意图。(b) 六方晶系中赤铁矿的晶体结构及坐标方向定义((x∥1120, y∥1100 , z∥0001)。(c)-(e)Néel矢量N分别沿x,y,z方向时的磁对称性与对应的σA。Fe原子的相对位置在(b)中标出。
针对该问题,研究团队先通过对称性分析明确不同Néel矢量取向下磁光响应的允许形式,再对两种晶格取向的单晶样品开展磁性表征与磁光克尔测量。对(1120)样品的测试发现,其零场附近存在显著磁光信号,团队进一步在不同波长下定量分析横向光电导率的斜率与截距,结合第一性原理计算评估Néel序、净磁化、外磁场三类机制的贡献,证实净磁化和外磁场的贡献系数极小,明确其克尔信号主要由Néel序主导;而(0001)取向样品中,在垂直膜面扫场过程时Néel 序无不发生转动,实验也几乎未观测到磁光信号,由此独立验证净磁化与外磁场项的贡献可忽略。

图 2 (a) 赤铁矿1120样品在不同波长下σxA随Hx的变化;浅色曲线为实部,深色曲线为虚部。(b),(c)σxA谱的截距与斜率。(d),(e),(f) 计算得到的Néel序诱导电导率αN,磁化诱导电导率βxxMS和外磁场诱导电导率γxxH0,其中MS=2.13×103 A/m,H0=1 T。
该成果为理解反铁磁绝缘体中显著的磁光信号提供了关键实验证据,也凸显交错磁体作为新型磁光材料的潜力,为面向自旋光电子与集成磁光器件的材料选择与机理设计提供了新思路。
中国科大博士研究生潘昊霖为本文的第一作者,侯达之教授为本文的通讯作者。本工作的理论计算部分由中国科大的牛谦老师、高阳老师,安徽大学的肖瑞春老师完成,部分样品由南科大李军学课题组提供。本研究得到了科技部国家重点研发计划、国家自然科学基金委和中国科学技术大学的支持。
文章链接:https://doi.org/10.1103/q8ym-l2zt
(合肥微尺度物质科学国家研究中心、科研部)
新闻链接:https://news.ustc.edu.cn/info/1055/93908.htm
网站内容来源于互联网,由网络编辑负责审查,目的在于传递信息,提供专业服务,不代表本网站平台赞同其观点和对其真实性负责。如因内容、版权问题存在异议的,请与我们取得联系,我们将协调给予处理(按照法规支付稿费或删除),联系方式:ahos@aiofm.ac.cn 。网站平台将加强监控与审核,一旦发现违反规定的内容,按国家法规处理,处理时间不超过24小时